OUR PRODUCTS

一、概述
UHB-ZK系列属单级悬臂式离心泵,过流部件采用钢衬超高分子量聚乙烯(UHMWPE)。该材质是目前新一代泵用工程塑料。该材质与所有塑料相比,它具有优异的耐磨性,耐冲性,抗蠕变性和很好的耐腐蚀性。
该系列是我厂在总结同类产品的基础上,针对输送强腐蚀性介质并带有不同细颗粒状的抗腐、耐磨的特殊介质而设计的一种新颖的钢衬工程塑料泵。它具有结构新颖,密封可靠,性能稳定,安装维修方便,使用寿命长之特点。
(1)、主要技术指标
1、特点:能适应不同的工况、酸碱类清液料浆均适用。
2、结构:(1)过流部件为钢衬超高分子量聚乙烯,衬层厚8-22mm。
(2)叶轮可根据介质状况选用闭式或半开式。
(3)密封可选用K型动力密封,填料密封或机械密封。
3、适用介质:浓度50%以下的硝酸,全浓度的盐酸,80%以下的硫酸,既可用于清液也可用于料浆。
4、使用温度:-60℃-100℃
5、进口直径:φ32-φ300mm 流量5-1000m3/h,扬程70m以内。
(2)、适用范围
可同时适用以下行业:
1、有色金属冶炼业:特别适用于铅、锌、金、银、铜、锰、钴、稀土等湿法冶炼中的各种腐蚀性清液,腐蚀性料浆。
2、涂料染料行业:各种染料料浆、各种硫酸、盐酸、硝酸、碱液。
3、硫酸磷肥业:各种稀酸、母液、氟硅酸、磷酸料浆。
4、氯碱业:各种盐酸、液碱。
5、钢铁行业:酸洗系统的硫酸、盐酸、带杂质的酸性污水。
6、水处理业:输送各种酸、碱性污水。
7、环保行业:脱硫剂的喷淋、输送。
8、非金属选矿业:高岭土、膨润土的酸洗、压滤。
二、型号义说明
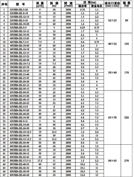
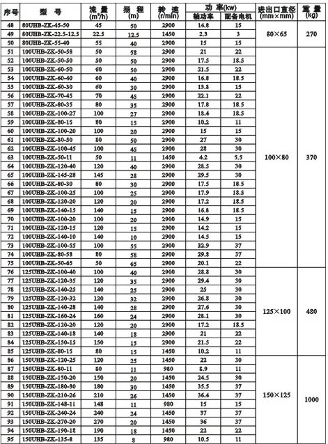
三、性能参数表


四、外形及安装尺寸
引用标准:GB9116-88 PN 1.0Mpa
注:1.进口≥150mm的泵,泵的出口位置与图示相反。
2.本厂所有系列泵所配进出口法兰的公称压力均为1.0Mpa。标准代号为:D-10 GB9116-88,D为公称通径。
3.序号:指本书前面性能表中所列的序号。
4.表中所列L6尺寸:当序号为1~85时均为配二极电机,序号为86~135时均为配4极电机,序号为136~139时均为配6极电机的尺寸,若配其它极数电机,L6则随电机长度的变化而增减,具体基础尺寸可向生产厂商索取。
五、启动、运行、维护、及拆装程序说明
(1)启动、运行及维护
1、运行前的检查
试运行前应先用手盘动联轴器或轴,检查员转向是否正确,运转是否灵活,如盘不动或有异常声音,应及时检查,检查时先从外部着手检查轴器是否水平,从轴承座上的油镜孔处查看润滑油的位置是否在油镜的中心线附近(太多应放掉一些,太少应加上一些),边检查边盘动,如果问题依然存在,就要拆泵检查,(拆泵时请参照本说明书上的结构简图和拆装程序)清理异物,并和本厂联系协商解决办法。
2、开车步骤
a.将泵内灌满液体。
b.及时打开进口阀门(如进口阀门为单向止回阀,就不需要人工操作)。
c.接通电源 。
d.打开出口阀门。
3、运行
运行中如有异常声音,或有电机发热等不正常情况出现时,也应停机检查,检查方法和步 骤同1。
4、停车步骤
a.先关闭出口处阀门;
b.切断电源,并及时关闭进口处阀门;(如进口阀门为单向止回阀,就不需要人工操作)。
5、维护
a.轴承座内的润滑油应定期更换,正常情况六个月更换一次;
b.寒冷季节,停泵后若有结冰现象,应先接通密封处冷却水,必要时可加热水进去解冻,之后用手盘动联轴器,直到运转灵活,再按照启动步骤开车;
c.有冷却水装置的泵,开车前应先接通冷却水,泵正常运行时,可继续接通,若条件不允许也可停掉,冷却水的流量和压力都没有要求,自来水即可。
d.泵在关闭出口阀门时的运行称为闭压运行状态,全塑泵或衬塑泵的闭压运行时间应尽可能缩短,常温介质以不超过5分钟为限,高温介质不要超过2分钟。
e.中分泵壳的泵,如进口150mm以上的泵,中分面处的密封塑料,因热胀冷缩尺寸有些变化,安装时应先将中分处的连接螺栓拧紧,再连接进口管路,以防中分面泄漏,此条件对北方的用户尤其重要。
f.泵不能承受进出口管道的重量,进口管路越短越好,泵出口到阀门处的垂直高度应尽可能短;
g.保持电机上没有水迹,防止电机受潮。
(2) 拆 装 程 序
1、不带付叶轮的泵(进口直径≤125mm的泵)
拆装顺序:(参考本说明书中的结构图)
a.松开泵体5与泵盖1连接螺栓,拆下泵盖;
b.松开叶轮拼帽2(左旋螺纹)和防转螺母3(左旋螺纹),拆下叶轮4;
c.松开泵体5与轴承座10的连接螺栓,拆下泵体5;
d.松开密封盒6与泵体5的连接螺栓,拆下密封盒6;
e.旋开密封盒上的后压盖,取出油封。
安装顺序与拆卸顺序相反,需要注意的是:
a.将叶轮拼帽拼紧后,检查一下叶轮与泵体之间的间隙,此间隙要求在2mm左右
b.安装好泵盖后,检查一下泵盖与叶轮之间的间隙(从出口处往里看),此间隙应保证在2mm左右,高温介质用泵,此间隙应保证在2.5mm左右。
c.叶轮与泵体之间的间隙达不到要求的,可通过增减叶轮与轴套之间的垫片来进行调整。
d.泵盖与叶轮之间的间隙达不到要求的,可通过增减叶轮与轴套之间的垫片来进行调整。
2.带付叶轮的泵(进口直径≤125mm的泵)
拆装顺序:(参考本说明书中的结构图)
a.松开泵体5与泵盖1连接螺栓,拆下泵盖;
B.松开叶轮拼帽2(左旋螺纹)和防转螺母3(左旋螺纹),拆下叶轮4;
c.松开泵体5与轴承座12的连接螺栓,密封盒7和泵体之间的连接螺栓,拆下泵体5。
d.依次拆下叶轮、密封盒、油封、轴套。
安装顺序与拆卸顺序相反,需要注意的是:
a.将叶轮拼帽与挡水圈后的螺母相对拼紧后,检查一下叶轮与泵体之间的间隙,此间
隙要求在2.5mm左右。
b.安装好泵盖后,检查一下泵盖与叶轮之间的间隙(从出口处往里看),此间隙应保证在2mm左右,高温介质用泵,此间隙应保证在2.5mm左右。
c.叶轮与泵体之间的间隙不符合要求的,可通过增减叶轮与轴套之间的垫片来进行调整。
d.泵盖与叶轮之间的间隙不符合要求的,可通过增减叶轮与轴套之间的垫片来进行调整。


